• Предмет: Химия
  • Автор: gulsezimsajmerden
  • Вопрос задан 1 год назад

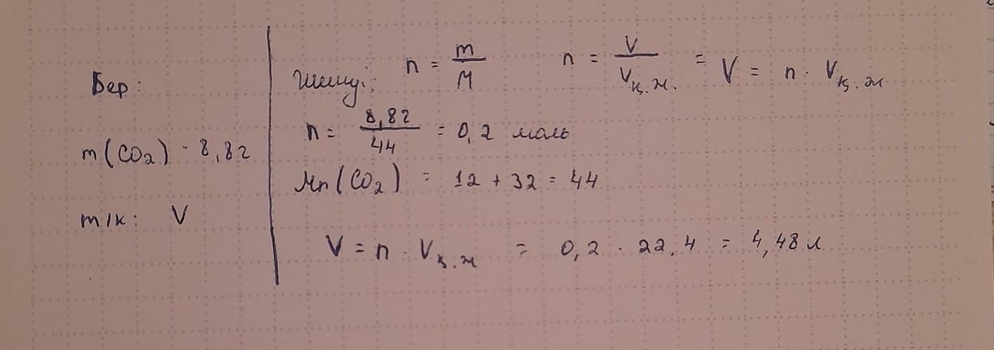
массасы 8,8г көмірқышқыл газының қ.ж. тап​

Ответы

Ответ дал: vladkool1345
0

Ответ:

44,8л.....................

Ответ дал: zeretajyr4
0

Ответ:

V қалыпты жағдайы 22,4

M табу үшін Mr ді шығару керек

Приложения:
Вас заинтересует