• Предмет: Алгебра
  • Автор: terp1mo
  • Вопрос задан 2 года назад

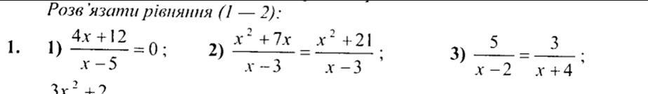
помогите решить пожалуйста

Приложения:

Ответы

Ответ дал: mostwonderkid
1

Ответ:

1) х=-3,. 4*(-3)+12=0

2) решений нет

3) х=-13; 5/(-13-2)=3/(-13+4)

-1/3=-1/3


terp1mo: спасибр
Вас заинтересует