Ответы
Ответ дал:
1
Ответ:чем мог тем помог
Обьяснение:
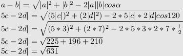
Приложения:

maksimabragim:
дякую!
Вас заинтересует
1 год назад
1 год назад
1 год назад
1 год назад
2 года назад
2 года назад
8 лет назад