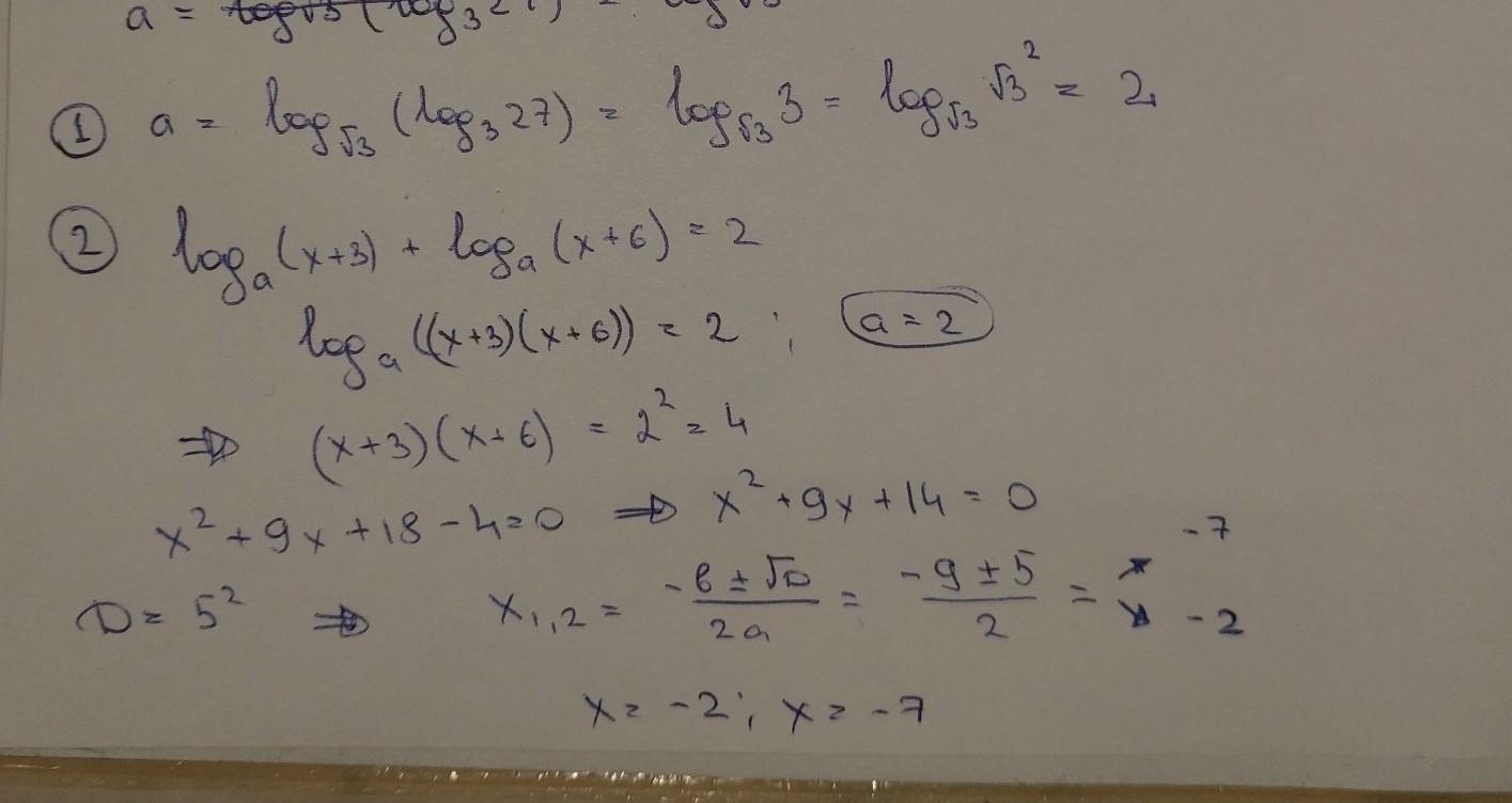
8. Відомо, що а=log√3 (log3 27). 1) Знайдіть значення а. 2) Розв'яжіть рiвняння loga (x+3)+loga (x+6)=2.
Ответы
Ответ дал:
3
Ответ:
смотриииииииии фотооооооооооооооо
Приложения:

cornaoleksandra4:
Есть в инсте?
Вас заинтересует
1 год назад
1 год назад
1 год назад
2 года назад
8 лет назад
8 лет назад