• Предмет: Алгебра
  • Автор: fctdgsygfdhngfxzgsac
  • Вопрос задан 1 год назад

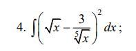
Обчислити інтеграли.

Приложения:

Ответы

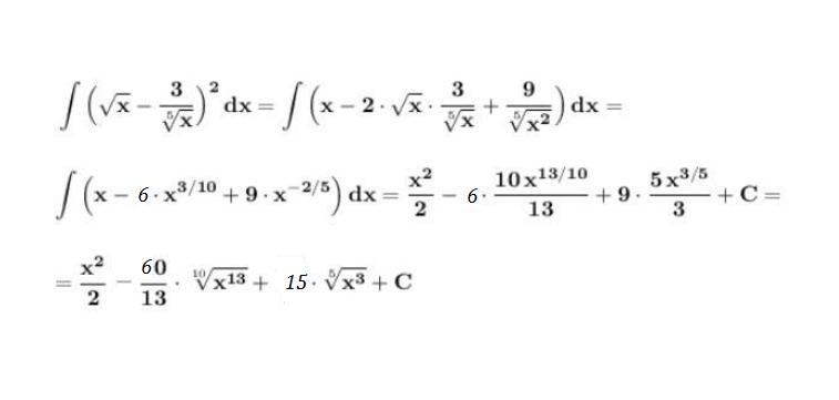
Ответ дал: aarr04594
2

Відповідь:

Пояснення:

фото

Приложения:

alice12324: https://znanija.com/task/54188944?utm_source=android&utm_medium=share&utm_campaign=question
alice12324: помоги с этой задачей
fctdgsygfdhngfxzgsac: дуже дякую)
Ответ дал: NNNLLL54
1

Ответ:

Формула :   \bf \displaystyle \int x^{n}\, dx=\frac{x^{n+1}}{n+1}+C\ \ ,\ \ n\ne -1          

Приложения:

fctdgsygfdhngfxzgsac: спасибо большое)
Вас заинтересует