• Предмет: Алгебра
  • Автор: fctdgsygfdhngfxzgsac
  • Вопрос задан 1 год назад

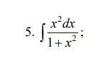
Обчислити інтеграли.

Приложения:

Ответы

Ответ дал: timofei9009900
1

Ответ:

 =  \frac{ ({x}^{2 } + 1) - 1 }{ {x}^{2}  + 1} dx = (1 -  \frac{1}{ {x}^{2} + 1 } )dx = \\  x  -  arctg(x) + c


fctdgsygfdhngfxzgsac: спасибо большое!
Ответ дал: aarr04594
1

Відповідь:

Пояснення:

фото

Приложения:

alice12324: https://znanija.com/task/54188944?utm_source=android&utm_medium=share&utm_campaign=question
alice12324: помоги с этой задачей
fctdgsygfdhngfxzgsac: дуже дякую)
Вас заинтересует