• Предмет: Математика
  • Автор: darkhankanatbek23
  • Вопрос задан 2 года назад

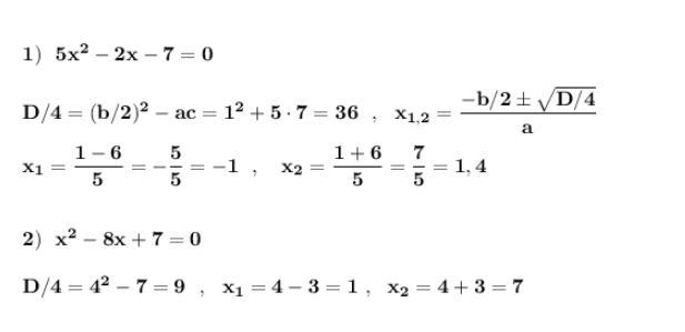
5х^2-2х-7=0
и
х^2-8х+7=0
найти дескрименант, корни и показать решение​

Ответы

Ответ дал: NNNLLL54
1

Ответ:

Решить квадратное уравнение .

\bf 1)\ \ 5x^2-2x-7=0\\\\D/4=(b/2)^2-ac=1^2+5\cdot 7=36\ \ ,\ \ x_{1,2}=\dfrac{-b/2\pm \sqrt{D/4}}{a}\\\\x_1=\dfrac{1-6}{5}=-\dfrac{5}{5}=-1\ \ ,\ \ \ x_2=\dfrac{1+6}{5}=\dfrac{7}{5}=1,4\\\\\\2)\ \ x^2-8x+7=0\\\\D/4=4^2-7=9\ \ ,\ \ x_1=4-3=1\ ,\ \ x_2=4+3=7    

Приложения:

fctdgsygfdhngfxzgsac: NNNLLL54, здравствуйте! спасибо большое что помогли с заданиями) можете еще помочь пожалуйста? в профиле есть несколько
Вас заинтересует