Ответы
Ответ дал:
1
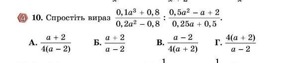
Правильний варіант відповіді: А
Приложения:

tea2709:
а можно с решением?
Ответ дал:
1
Ответ:
Во вложение, в самом первом
Объяснение:
Сначала переворачиваешь дробь т.к у нас действие деления дроби на дробь и перемножаешь скобки между собой, после этого выносишь у первых двух слагаемых общий множитель 0.05a^3 и следующий множитель 0,4 у последних двух слагаемых, тоже самое в знаменателе, 0,05a^3 выносишь у первых двух слагаемых и 0,4 у последних двух, в итоге получается 2 множителя в знаменателе и в числителе, первая скобка с (0,05a^3+0,4) сокращается и остается (0.5a+1)/(2a-4), также выносишь за скобки в числителе 0,5, а в знаменателе 2, сверху 5/10, знаменатель уходит вниз и перемножается с 10(либо сразу можно сократить 10 и 5, как удобнее), в итоге остается (a+2)/4(a-2).
Приложения:

Вас заинтересует
1 год назад
1 год назад
1 год назад
2 года назад
2 года назад
8 лет назад