• Предмет: Алгебра
  • Автор: yerofeyevvictor
  • Вопрос задан 1 год назад

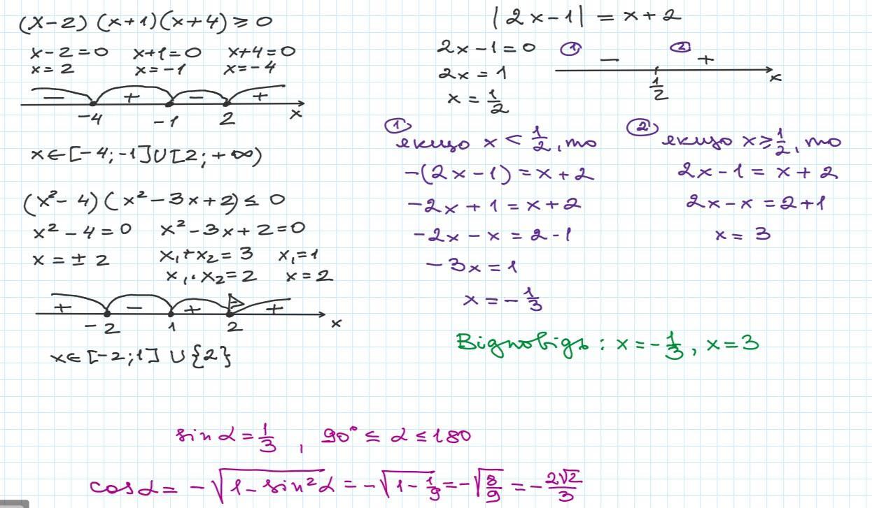
ПОМОГИТЕ РЕШИТЬ 1 ВАРИАНТ ДАЮ 100 БАЛЛОВ​

Приложения:

Ответы

Ответ дал: математик2011
0

Ответ:

на фото

Объяснение:

Приложения:
Вас заинтересует