• Предмет: Алгебра
  • Автор: term292928
  • Вопрос задан 1 год назад

помогите срочно нужно ​

Приложения:

Ответы

Ответ дал: timosukanastasia703
0

Объяснение:

  1.  \frac{5 + 6}{ 2}  = 2,1

timosukanastasia703: *5,1
timosukanastasia703: неправильно написала
Ответ дал: parus77
0

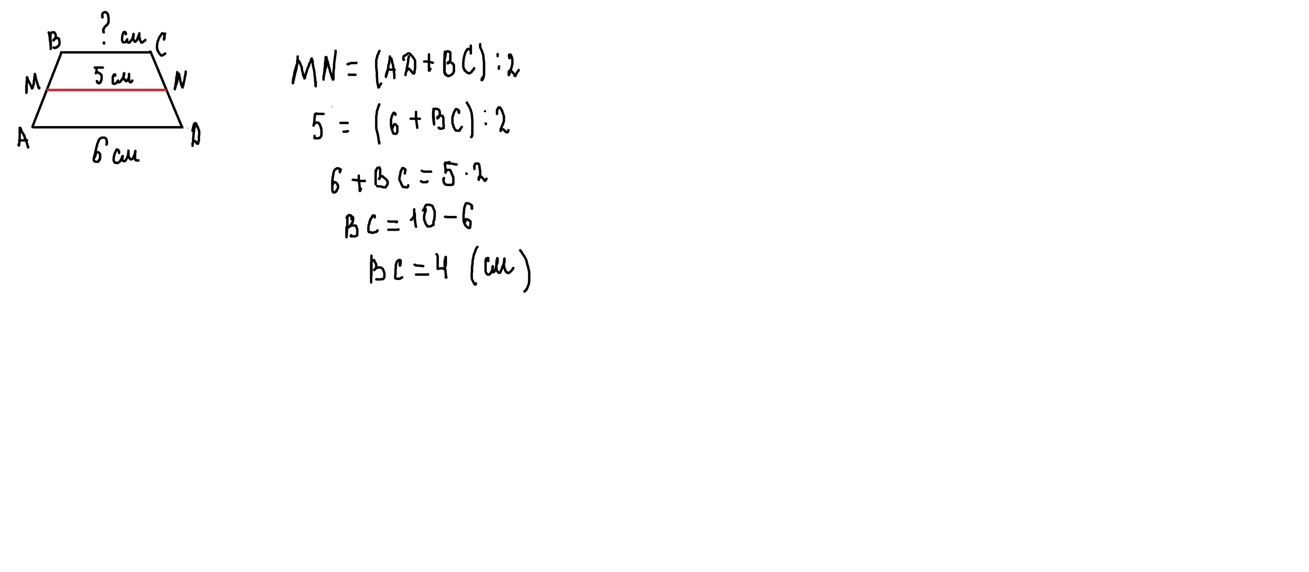
Ответ:

основание трапеции равно 4 см

Объяснение:

ср. линия трапеции параллельна основанию и равна половине суммы этих оснований

внизу на рис. средняя линия MN=5см

решение внизу

Приложения:
Вас заинтересует