Ответы
Ответ дал:
1
Ответ:
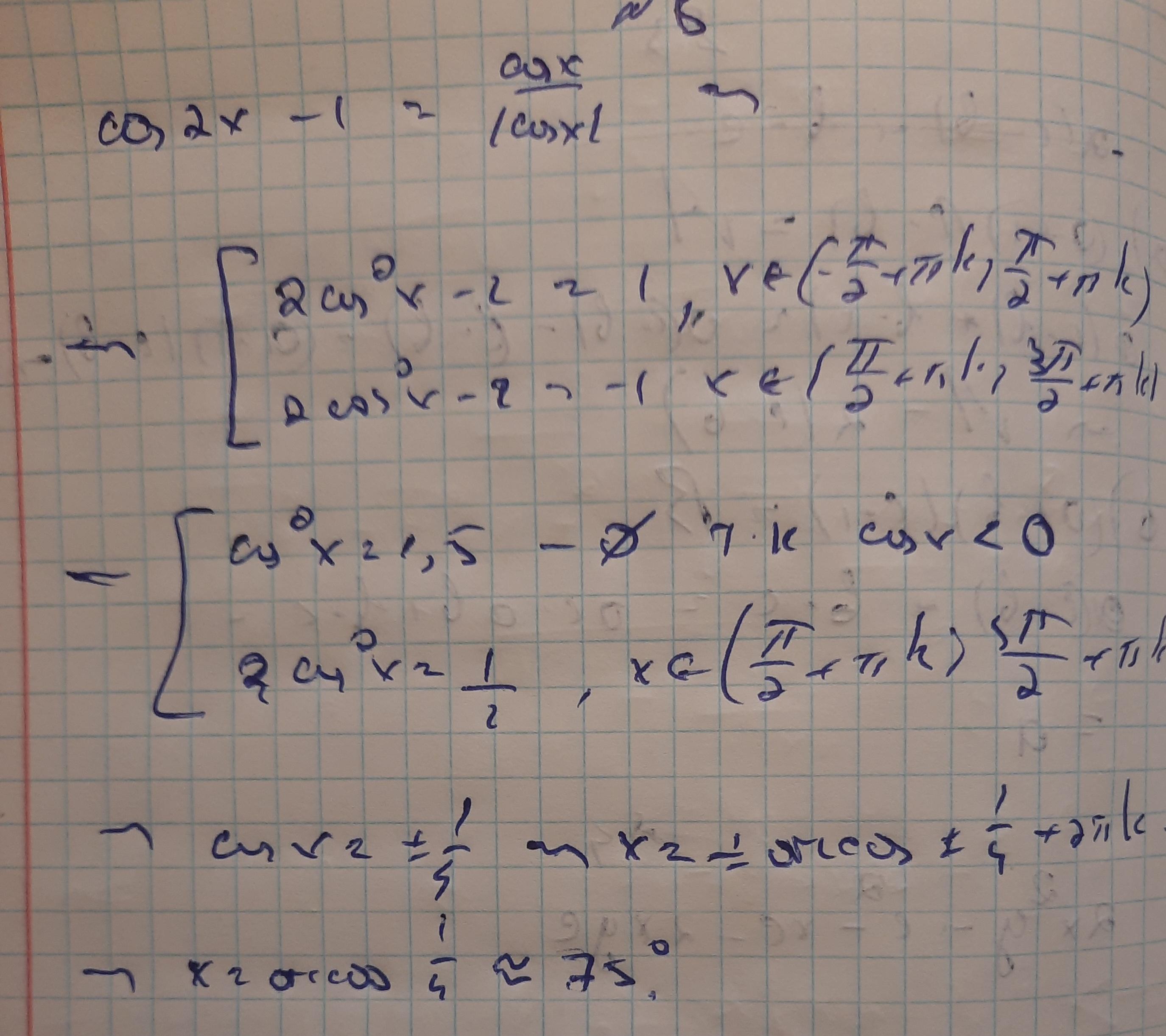
x = arccos (1/4) (примерно 75°)
Объяснение:
Приложения:

DenisIgorevich21:
Только cos x <= 1, а не 0 опечатка.
Вас заинтересует
1 год назад
1 год назад
1 год назад
1 год назад
2 года назад