Ответы
Ответ дал:
0
Ответ:
вот не стоит благодарности
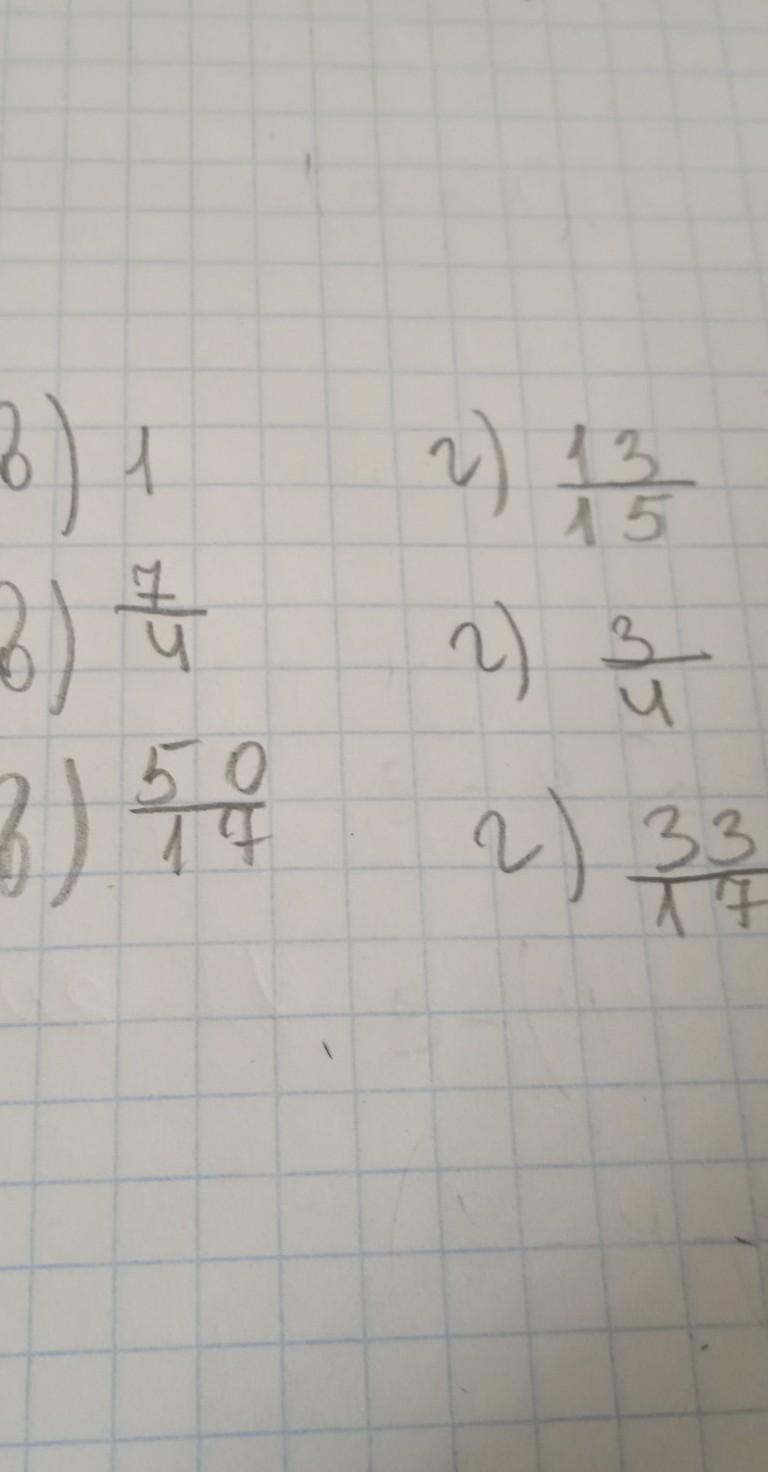
Приложения:

parus77:
в неправильных дробях надо выделить целую часть!
Ответ дал:
0
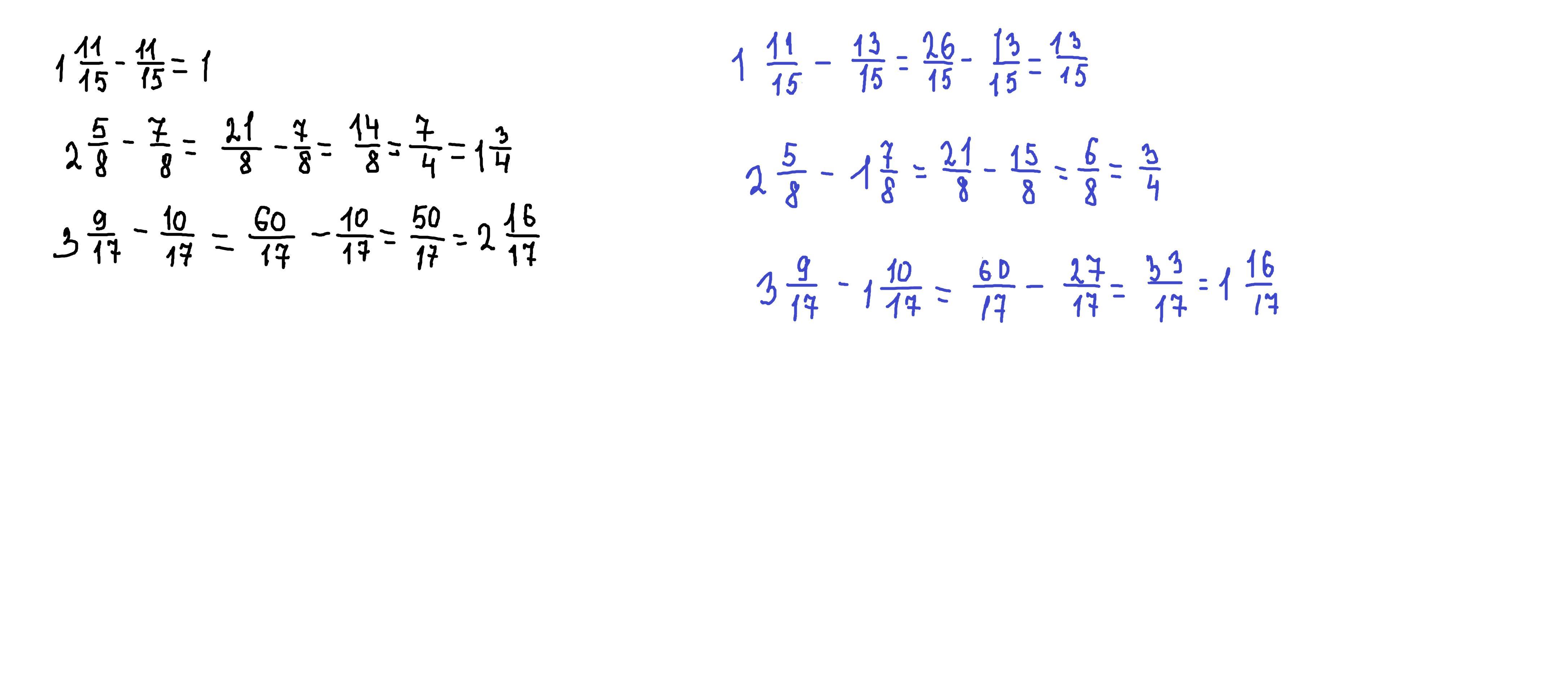
Ответ:
Пошаговое объяснение:
Приложения:

Вас заинтересует
1 год назад
1 год назад
1 год назад
2 года назад
2 года назад
8 лет назад