• Предмет: Алгебра
  • Автор: boarskaavika358
  • Вопрос задан 1 год назад

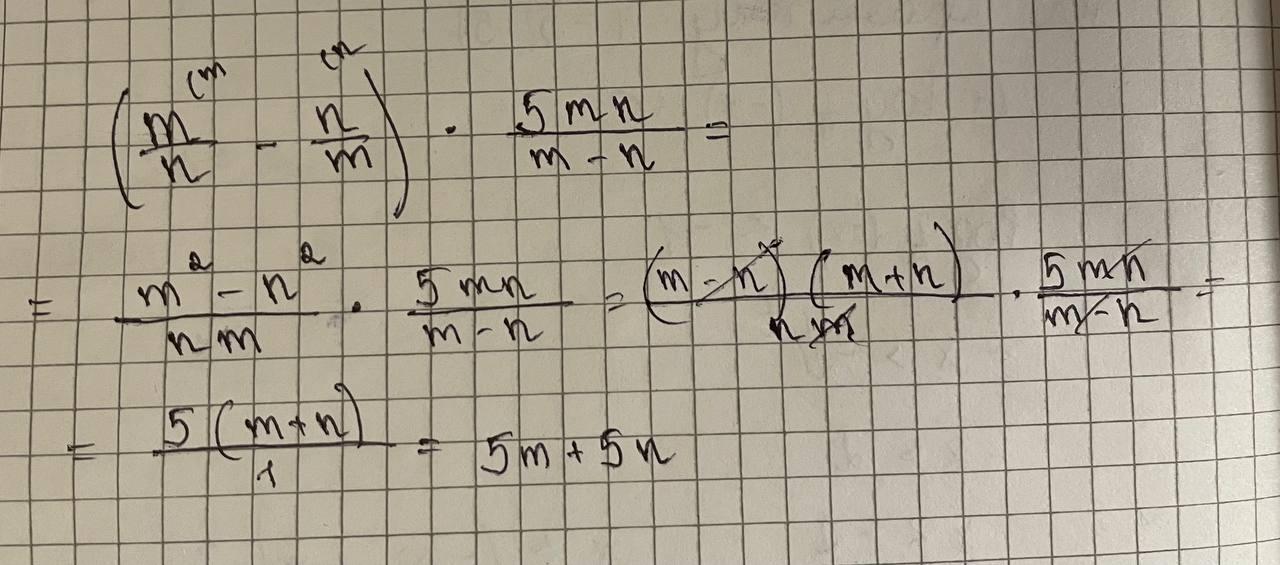
Спростити вирази, допоможить буд ласко​

Приложения:

Ответы

Ответ дал: mariakalambet07
1

Відповідь:

Пояснення:

Приложения:
Вас заинтересует