• Предмет: Алгебра
  • Автор: ytxxxlexa
  • Вопрос задан 1 год назад

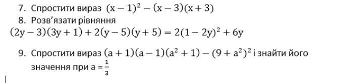
допоможіть будь ласка зробити

Приложения:

Ответы

Ответ дал: lapoira631
0

Ответ:

7) (х-1)²-(х-3)(х+3)=х²-2х+1-х²-9=-2х-8

8) (2у-3)(3у+1)+2(у-5)(у+5)=2(1-2у)²+6у

6у²+2у-9у-3+2у²-50=2-8у+8у²+6у

8у²-7у-53=2-2у+8у²

у²-7у-53-2+2у-8у²=0

7у²-5у-55=0

9 заданне ня ведаю

Вас заинтересует