• Предмет: Алгебра
  • Автор: alinagrecok511
  • Вопрос задан 2 года назад

Даю 30 балов.Срочноооооо​

Приложения:

Ответы

Ответ дал: gromohlook
1

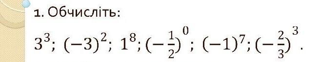
3³=27;(-3)²=9;1⁸=1;(-1/2)⁰=-1;(-1)⁷=-1;(-2/3)³=-8/27

Вас заинтересует