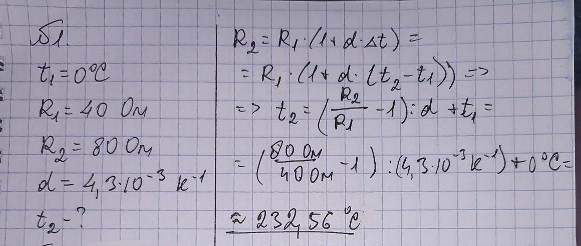
Определите температуру, при которой медный проводник сопротивляется 80 Ом, если при 0°С его сопротивление составляло 40 Ом. Температурный коэффициент электрического сопротивления меди 4,3∙10^−3К^−1.
Ответы
Ответ дал:
1
Ответ:
≈ 232.56 °C
Объяснение:
на фото
..........................
Приложения:

Вас заинтересует
1 год назад
1 год назад
1 год назад
2 года назад
8 лет назад