• Предмет: Алгебра
  • Автор: fctdgsygfdhngfxzgsac
  • Вопрос задан 2 года назад

Знайти інтеграл.....

Приложения:

Ответы

Ответ дал: NNNLLL54
1

Ответ:

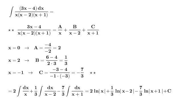
Вычислить интеграл . Раскладываем правильную рациональную дробь на сумму простейших дробей .

\bf \displaystyle \int \frac{(3x-4)\, dx}{x(x-2)(x+1)}=\\\\\\\star \star\ \ \frac{3x-4}{x(x-2)(x+1)}=\frac{A}{x}+\frac{B}{x-2}+\frac{C}{x+1}\\\\\\x=0\ \ \to \ \ A=\frac{-4}{-2}=2\\\\x=2\ \ \to \ \ \ B=\frac{6-4}{2\cdot 3}=\frac{1}{3}\\\\x=-1\ \ \to \ \ \ C=\frac{-3-4}{-1\cdot (-3)}=-\frac{7}{3}\ \ \ \star \star\\\\\\=2\int \frac{dx}{x}+\frac{1}{3}\int\frac{dx}{x-2}-\frac{7}{3}\int \frac{dx}{x+1}=2\ ln|\, x\, |+\frac{1}{3}\ ln|\, x-2\, |-\frac{7}{3}\ ln|\, x+1\, |+C            

Приложения:

fctdgsygfdhngfxzgsac: спасибо большое)
lavrovskyi: Добрый день
Не могли бы вы мне помочь с Алгеброй?
https://znanija.com/task/54274983 (здесь нужно решить 2 уравнения)
https://znanija.com/task/54275010 (здесь нужно найти область определения функции)
Вас заинтересует