Лёгкий пример, 10 балов. Нужны все подробные чёткие шаги решения, не только один ответ.
Приложения:

Ответы
Ответ дал:
0
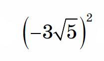
Ответ:
45, на счёт объяснения не
Объяснение:
n9gx5ybcy5:
Нужно объяснение.
Вас заинтересует
1 год назад
1 год назад
2 года назад
2 года назад
8 лет назад