• Предмет: Алгебра
  • Автор: ryaboymaks2010
  • Вопрос задан 1 год назад

Помогите срочно рсли алгебра 8 клас даю 90 баллов

Приложения:

Ответы

Ответ дал: Universalka
0

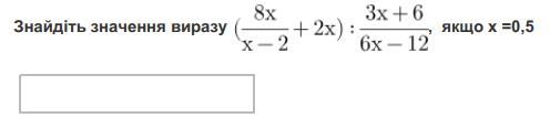
\displaystyle\bf\\\Big(\frac{8x}{x-2}+2x\Big):\frac{3x+6}{6x-12} =\frac{8x+2x\cdot(x-2)}{x-2} :\frac{3\cdot(x+2)}{6\cdot(x-2)} =\\\\\\=\frac{8x+2x^{2} -4x}{x-2} :\frac{x+2}{2\cdot(x-2)}=\frac{2x^{2} +4x}{x-2} :\frac{x+2}{2\cdot(x-2)}=  \\\\\\=\frac{2x\cdot(x+2)}{x-2} \cdot\frac{2\cdot(x-2)}{x+2}= 4x\\\\\\x=0,5\\\\4x=4\cdot 0,5=2\\\\Otvet \ : \ 2

Вас заинтересует