• Предмет: Алгебра
  • Автор: mmmmmm190900
  • Вопрос задан 2 года назад

ДОПОМОЖІТЬ БУДЬ ЛАСКА


Приложения:

Ответы

Ответ дал: 111helper111
1

Ответ:

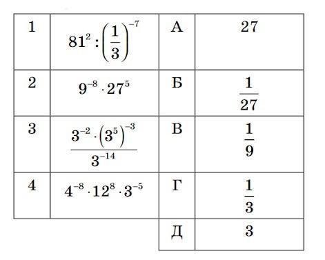
1-Д

2-Г

3-Б

4-А

Объяснение:

Все довольно легко

Вас заинтересует