ДАЮ 35 БАЛОВ ПОМОГИТЕ !!
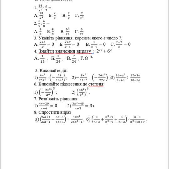
1.
А.
7
10
||
Б. В. Г.
2.
b
А.З Б. В. Г.
8
72
72
3. Укажіть рівняння, коренем якого є число 7.
= 0 B. - 0 Г.
x+1
x+7
А. = 0 Б.
x-7
Г.Х−7 = 0
X-1
x-7
х
4. Знайти значення виразу : 2-3 + 6-1
1
||
1
7
А. ; Б. ; В. -4; Г. 8-4
12
24
24
5. Виконайте дії:
4n
1) (-15); 2)— ( - )
24x3
25k2
16n3
8x2
11c3
;3)
77c
6. Виконайте піднесення до степеня:
3
1) ( - ) ;
2x²
a+
7. Розв'яжіть
= 0
IN
4x+20
1)
х-4
8. Спростити вираз
a)
:
рівняння:
2)
-
2) (…).
3x²-45
x-5
10a2
5a+1 5a-1
5a-1 5a+1 25a2-1
3x
16-a² 12-3а
8-4a
10-5a
n2+9
3
;
6) (13 + 3+9 + 12 )
n+3
n2-9
n-3
n2+6n+9
Приложения:

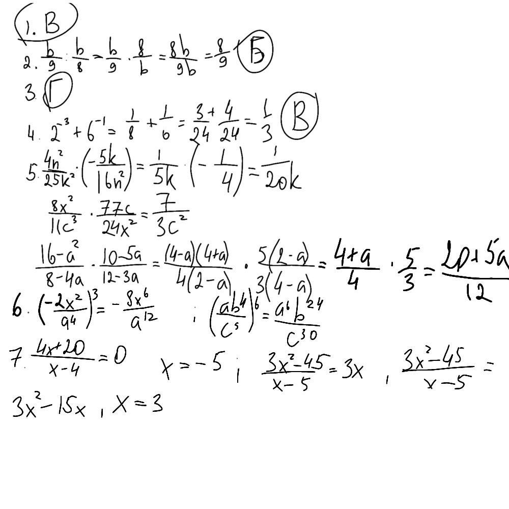
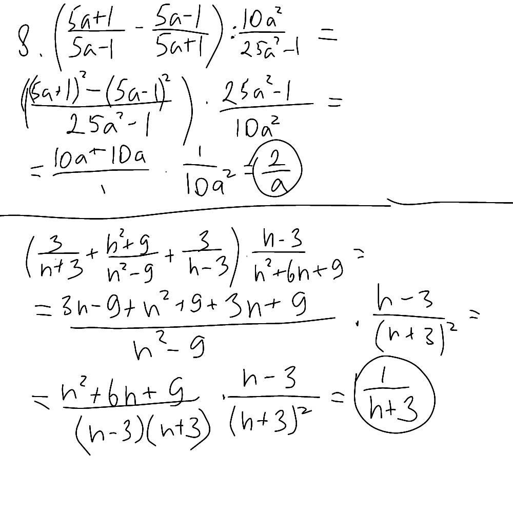
Ответы
Ответ дал:
1
Ответ:
ну типо вот. ничего сложного
Приложения:


meowkajj:
спасибо большое
Вас заинтересует
1 год назад
1 год назад
1 год назад
1 год назад
2 года назад
2 года назад
8 лет назад