• Предмет: Алгебра
  • Автор: yako01
  • Вопрос задан 1 год назад

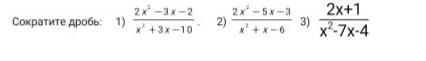
Помогите срочно ......​

Приложения:

Ответы

Ответ дал: slisarenkoart
0

Ответ:оорррррррррр

шддлш

Объяснение:лопдддлллдплшдлш

шгд

Вас заинтересует