• Предмет: Алгебра
  • Автор: Hive09
  • Вопрос задан 1 год назад

Обчислить будь ласко 100 балів

Приложения:

Ответы

Ответ дал: ВладимирБ
0

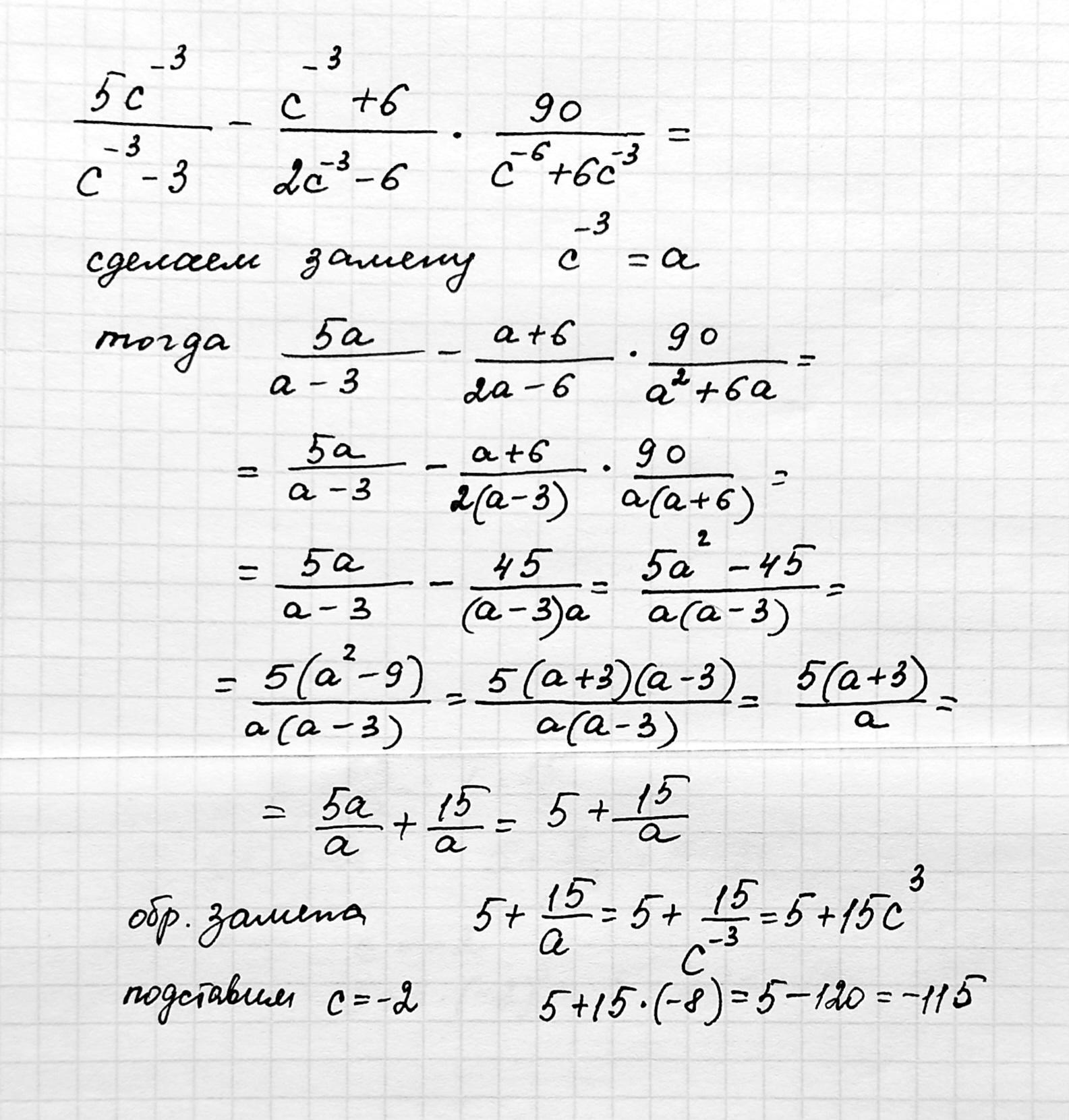
Ответ:

-115

Объяснение:

решение на фото

Приложения:
Вас заинтересует