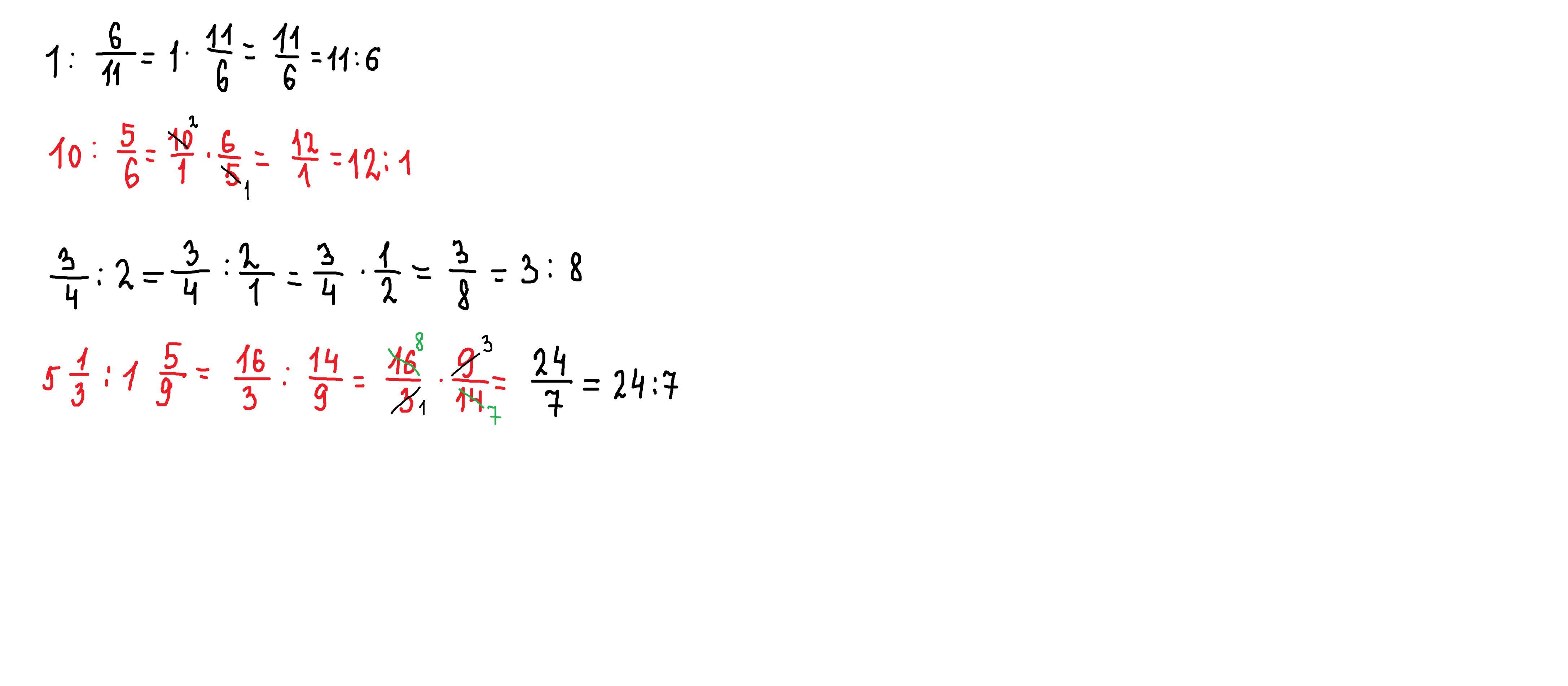
Замініть дане відношення відношенням натуральних чисел
1:6/11
10:5/6
3/4:2
5 1/3:1 5/9
Помогите пожалуйста срочно
Ответы
Ответ дал:
1
Ответ:
Пошаговое объяснение:
решение внизу
Приложения:

Вас заинтересует
1 год назад
1 год назад
1 год назад
1 год назад
2 года назад
2 года назад
8 лет назад
8 лет назад