Ответы
Ответ дал:
3
Ответ:
Объяснение:
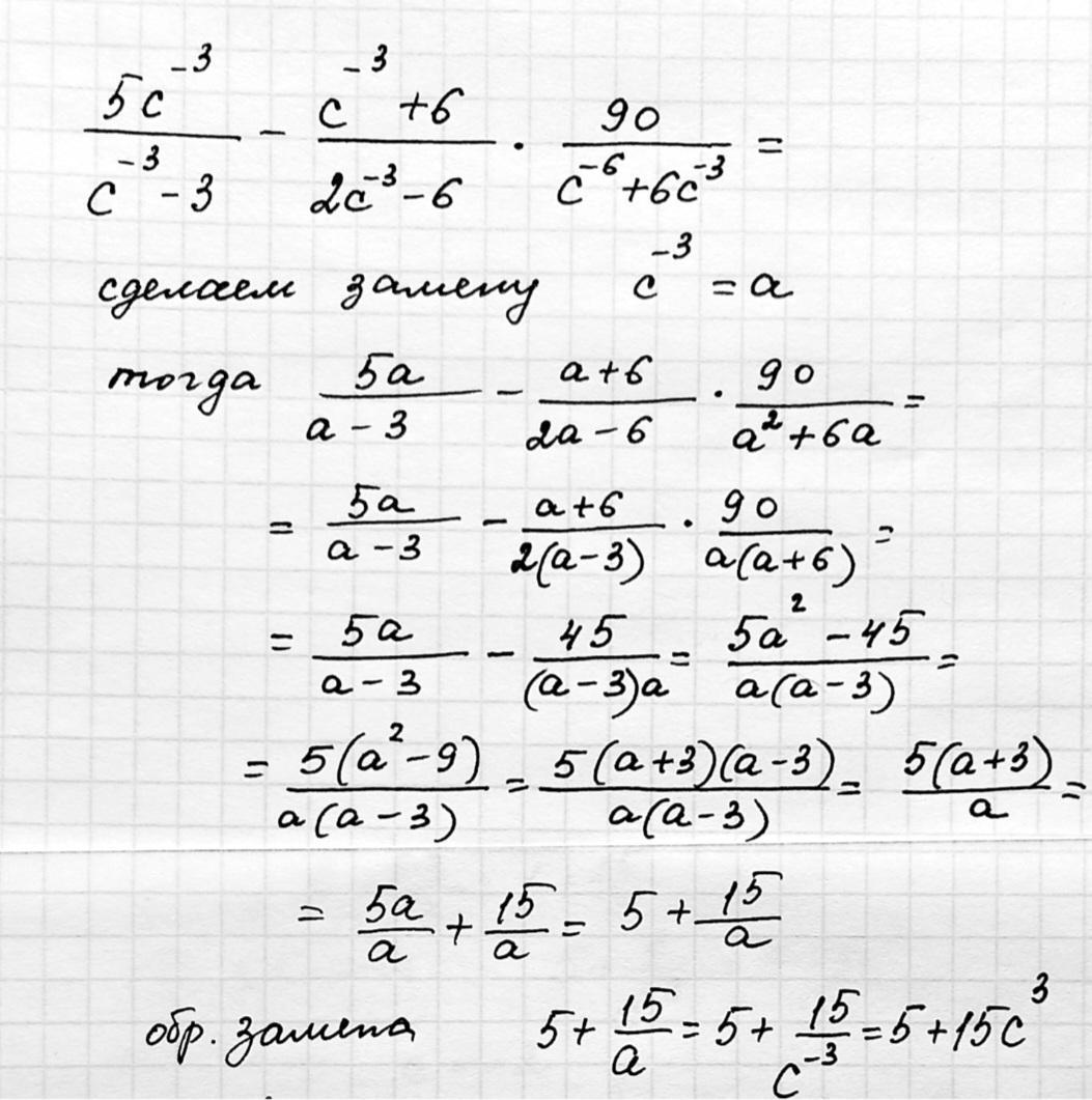
решение на фото
Приложения:

danik10101:
вау, надо будет запомнить трюк с заменой
Вас заинтересует
1 год назад
1 год назад
1 год назад
1 год назад
2 года назад
8 лет назад
8 лет назад