• Предмет: Алгебра
  • Автор: MaKkaRoShka
  • Вопрос задан 10 лет назад

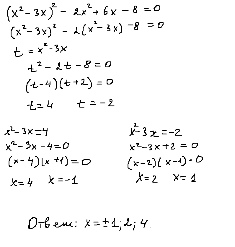
решите уравнение (х^2 - 3x^2)^2 - 2x^2 + 6x - 8 = 0

Ответы

Ответ дал: esmilya
0
Если понравилось решение - нажимай "спасибо" и "лучший" (рядом с кнопкой "спасибо") :)
Приложения:
Ответ дал: MaKkaRoShka
0
Спасибо большое )
Ответ дал: esmilya
0
пжл )))))))))
Вас заинтересует