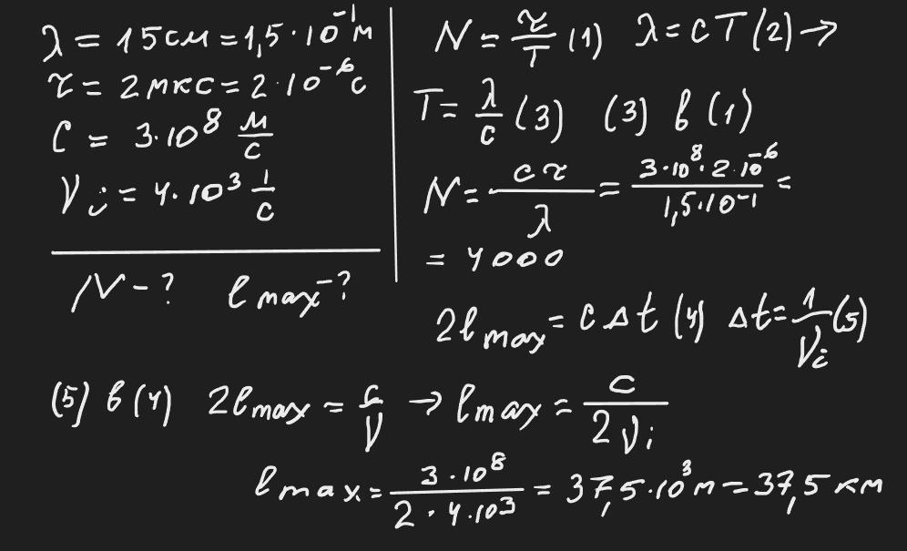
Срочно!!!! Родіолокатор працює на хвилі 12 см і щосекунди випромінює 4 000 імпульсів тривалістю
2 мкс. Скільки електромагнітних коливань міститься в кожному імпульсі? Яка максимальна глибина розвідки цього радіолокатора? На якій мінімальній відстані від радіолокатора може бути виявлено ціль?
Ответы
Ответ дал:
2
Відповідь:
Пояснення:
Приложения:

ilnickijviktor42:
Звідки взялося 15?
Вас заинтересует
1 год назад
1 год назад
1 год назад
2 года назад
2 года назад
8 лет назад
8 лет назад