• Предмет: Химия
  • Автор: keepslololpfv0l
  • Вопрос задан 1 год назад

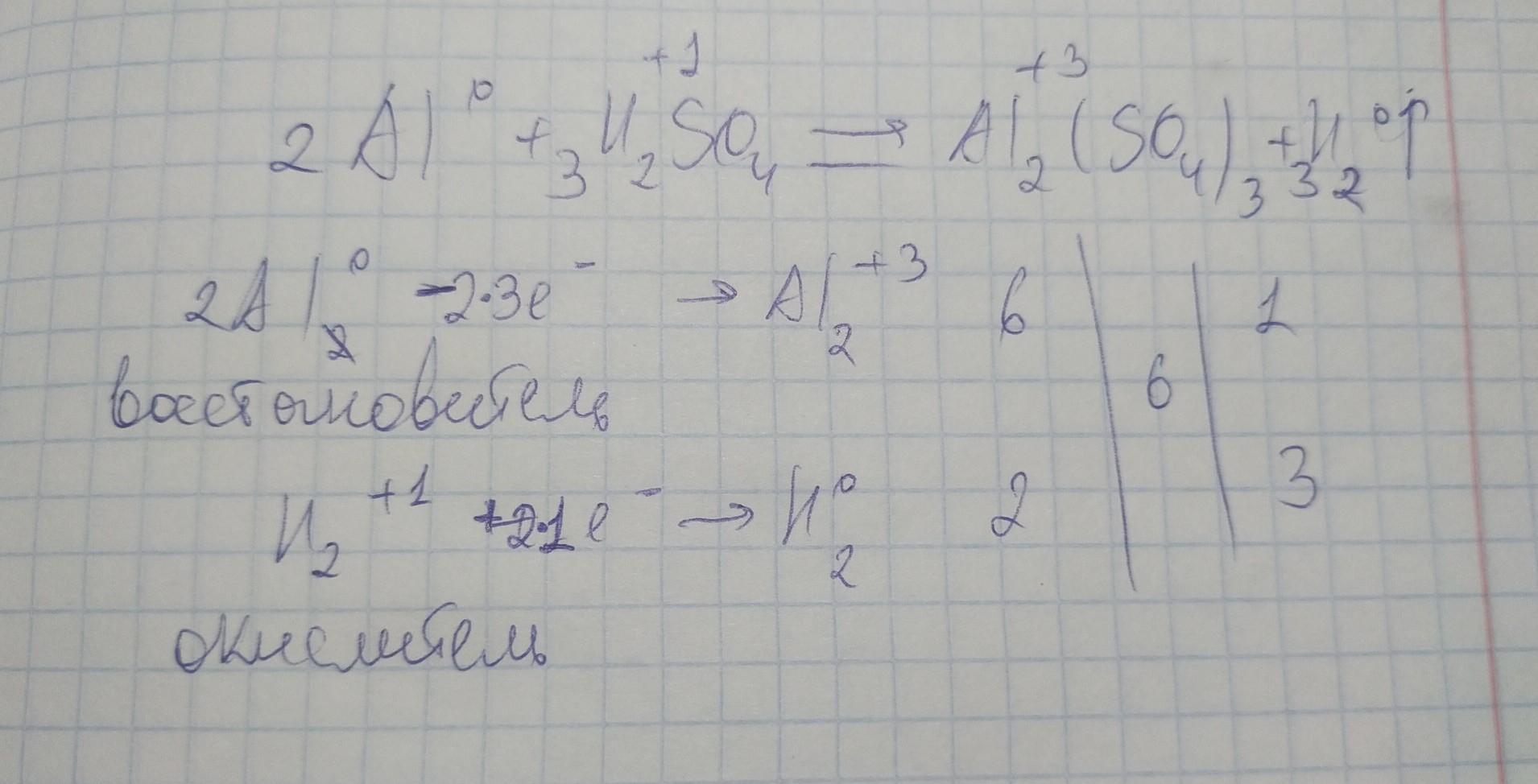
Уравняйте реакции методом электронного баланса
Al+ H2SO4=
полный ответ

Ответы

Ответ дал: FoxyKapkan
0

Ответ:

.........................

Приложения:
Вас заинтересует