• Предмет: Математика
  • Автор: autoxic
  • Вопрос задан 1 год назад

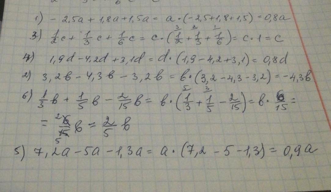
716. Приведите подобные слагаемые:

1) - 2, 5a + 1, 8a + 1, 5a

3) 1/2 * c + 1/3 * c + 1/6 * c

4) 1, 9d - 4, 2d + 3, 1d

2) 3.2b - 4.3b - 3, 2b

6) 1/3 * b + 1/5 * b - 2/15 * b

5) 7.2a - 5a - 1, 3a

Ответы

Ответ дал: larisaserova53
4

Ответ:

Смотри решение на фото...

Приложения:
Вас заинтересует