• Предмет: Алгебра
  • Автор: davugzybenko
  • Вопрос задан 1 год назад

надо решить 1,2 и 3 ​

Приложения:

Ответы

Ответ дал: Alnadya
1

Решение .

Формула суммы бесконечно убывающей геометрической прогрессии :

\bf S=\dfrac{b_1}{1-q}  ,   причём   \bf q=\dfrac{b_{n}}{b_{n-1}}\ \ ,\ \ |\, q\, | < 1   .

\bf 1)\ \ \dfrac{1}{2}\ ;\ \dfrac{1}{3}\ ;\ ...\qquad \qquad q=\dfrac{1/3}{1/2}=\dfrac{2}{3} < 1\ \ ,\\\\\\S=\dfrac{\dfrac{1}{2}}{1-\dfrac{2}{3}}=\dfrac{3}{2\, (3-2)}=\dfrac{3}{2}=1,5      

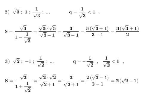
\bf 2)\ \ \sqrt3\ ;\ 1\ ;\ \dfrac{1}{\sqrt3}\ ;\ ...\qquad \qquad q=\dfrac{1}{\sqrt3} < 1\ \ ,\\\\\\S=\dfrac{\sqrt3}{1-\dfrac{1}{\sqrt3}}=\dfrac{\sqrt3\cdot \sqrt3}{\sqrt3-1}=\dfrac{3}{\sqrt3-1}=\dfrac{3\, (\sqrt3+1)}{3-1}=\dfrac{3\, (\sqrt3+1)}{2}  

\bf 3)\ \ \sqrt2\ ;\ -1\ ;\ \dfrac{1}{\sqrt2}\ ;\ ...\qquad \qquad q=-\dfrac{1}{\sqrt2} \ \ ,\ \ \dfrac{1}{\sqrt2} < 1\ \ ,\\\\\\S=\dfrac{\sqrt2}{1+\dfrac{1}{\sqrt2}}=\dfrac{\sqrt2\cdot \sqrt2}{\sqrt2+1}=\dfrac{2}{\sqrt2+1}=\dfrac{2\, (\sqrt2-1)}{2-1}=2\, (\sqrt2-1)                    

Приложения:

davugzybenko: спасибо
Вас заинтересует