• Предмет: Математика
  • Автор: cuklinovmaksim5
  • Вопрос задан 1 год назад

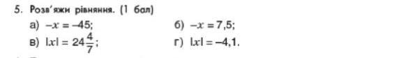
розв'яжи рівняння. (1 бал) а) -х=-45; б) -х=7,5; в) |х|=24 4/7; г) |х|=-4,1. срочно.​

Приложения:

Ответы

Ответ дал: mainnoobbrawl
3

Ответ:

а) -х=-45    =    x=45

б) -x=7.5     =   x=-7.5

в) |х|=24 4/7     =   х=24 4/7

г) |х|=-4,1          =    х=4,1


lega131111: попв
lega131111: попа
Ответ дал: parus77
6

Ответ:

Пошаговое объяснение:

г) модуль числа,число не отрицательное,потому что модуль-это расстояние,поэтому это уравнение не имеет корней

Приложения:

lega131111: дякую, попа
lega131111: попапопапопапапопопа
Вас заинтересует