Ответы
Ответ дал:
1
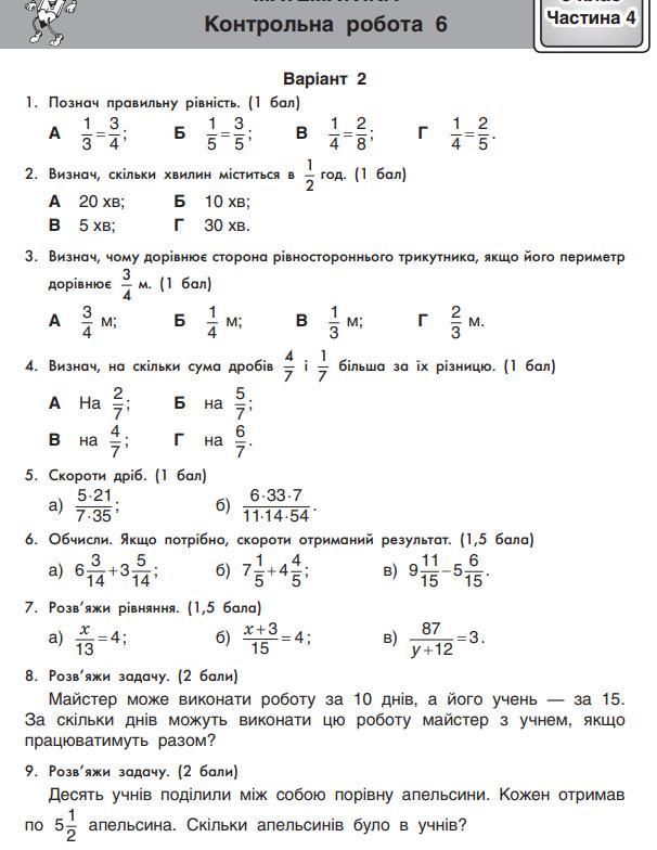
Відповідь:
1)В
2)Г
3)1/4
4)А
5)а=3/7 б=1/6
6)а=9⁴/7 б=12 в=4⅓
7). а)х=52. б)х=57. в)у=17
8) разом за 5 днів
9)55
Приложения:


korolevavirh:
спосибо только задачу не розписал но всеравно спобо огромное
Вас заинтересует
1 год назад
1 год назад
1 год назад
1 год назад
2 года назад
2 года назад
8 лет назад