• Предмет: Алгебра
  • Автор: mapeoxx910
  • Вопрос задан 1 год назад

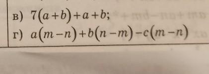
розкладіть на множники срочно​

Приложения:

Ответы

Ответ дал: Veroni4ka777
0

Ответ:

Объяснение:

в. 7a+7b+a+b=8a+8b

г. am-an+bn-bm-cm+cn

Вас заинтересует