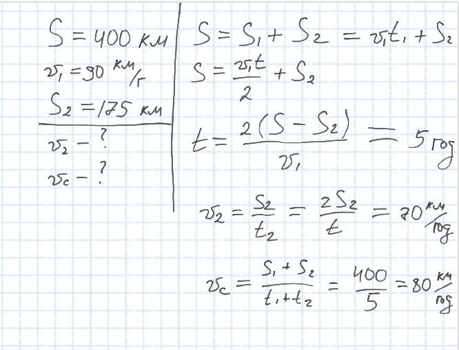
ДАЮ 50 БАЛІВ! Виконайте будь ласка задачі на фото у фізичному розв'язку(дано | розв'язування)
Приложения:

Ответы
Ответ дал:
1
Відповідь: Вибач, що без точних розрахунків, мало часу)
Пояснення:
Приложения:


samofalmaks9:
У дано першої задачі випиши t1=t/2
Вас заинтересует
1 год назад
1 год назад
1 год назад
2 года назад
2 года назад