Ответы
Ответ дал:
2
Пошаговое объяснение:
(2 1/4)/3,6 = (3,4х)/(8 1/2)
3,4х * 3,6 = 8 1/2 * 2 1/4
12,24х = 8,5 * 2,25
12,24х = 19,125
х = 19,125 : 12,24
х =1,5625
Ответ дал:
1
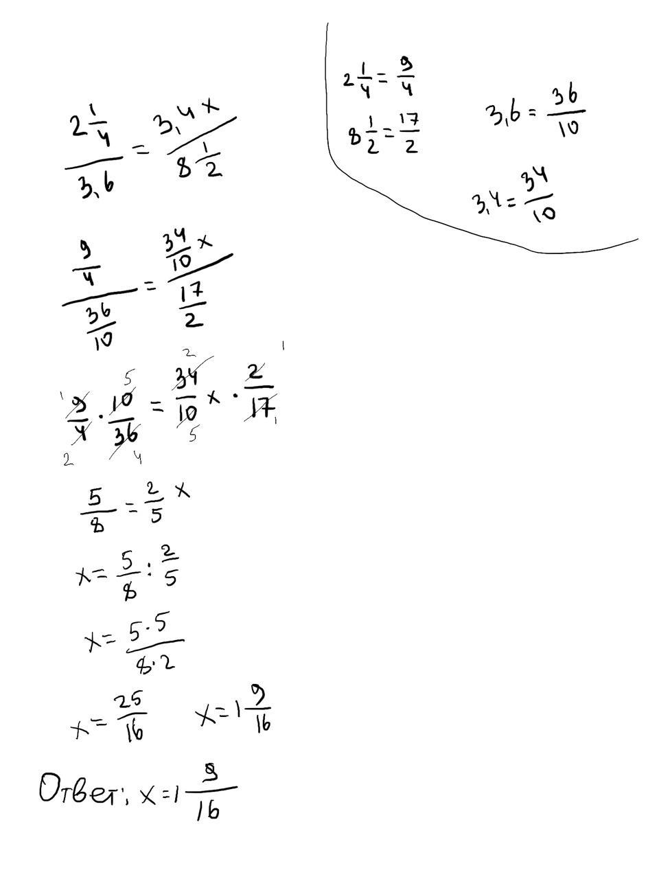
Ответ: 1 целая 9/16
Пошаговое объяснение:
все расписала на изображении
Приложения:

Вас заинтересует
1 год назад
1 год назад
1 год назад
2 года назад
8 лет назад