• Предмет: Математика
  • Автор: apinakosmyna
  • Вопрос задан 1 год назад

СРОЧНОООО ДАЮ 50 БАЛІВ

Приложения:

Ответы

Ответ дал: trushovskiy777
1

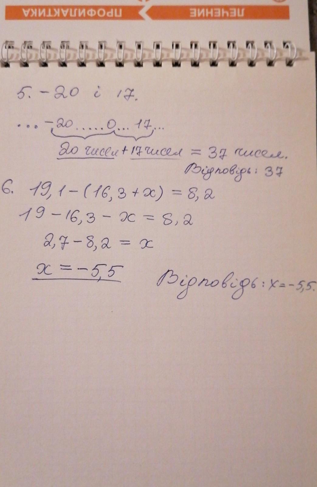
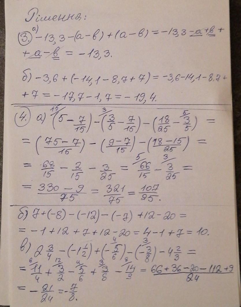
Відповідь:

Усё на фото

Покрокове пояснення:

Усё на фото

Приложения:

apinakosmyna: Спасибо большое!!
trushovskiy777: Не за что)
Вас заинтересует