• Предмет: Алгебра
  • Автор: skeleton1282
  • Вопрос задан 1 год назад

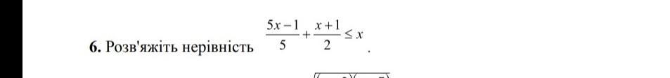
розв'яжіть нерівність на фото пжжжж​

Приложения:

Ответы

Ответ дал: ssojio
0

Ответ:

форма нерівності

х≤- 3/5

Вас заинтересует