• Предмет: Алгебра
  • Автор: stanoss100
  • Вопрос задан 1 год назад

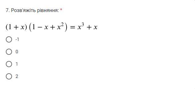
алгебра 7 класс. прошу очень надо

Приложения:

Ответы

Ответ дал: natalia1997ms
1

Ответ:

4х²+1

Объяснение:

(2х+1)²-4х=4х²+1+4х-4х=4х²+1

Вас заинтересует