• Предмет: Алгебра
  • Автор: aizada2001
  • Вопрос задан 10 лет назад

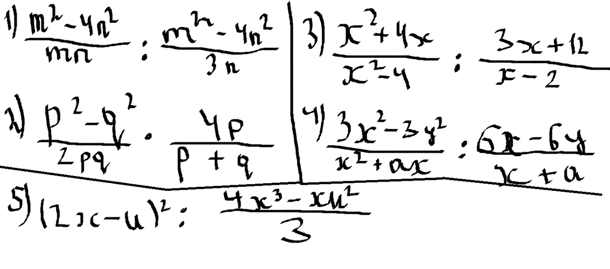
помогите .пожалуйста.с алгеброй.

Приложения:

Ответы

Ответ дал: DanilGalimov
0
1)m^2-4n^2/mn:m^2-4n^2/3n=m^2-4n^2*3n/mn*m^2-4n^2=3n/mn=3/m
Ответ дал: evseevate
0
2 и 5 не знаю как решать(
надеюсь почерк понятен)
Приложения:
Вас заинтересует