• Предмет: Алгебра
  • Автор: irishkac3026
  • Вопрос задан 1 год назад

5 вопрос, даю 50 баллов, ПЖ СРОЧНО

Приложения:

Milanochkacat: го др помогу
Milanochkacat: дружить?
irishkac3026: Ok
irishkac3026: Пж срочно
irishkac3026: ПЖПЖ
Milanochkacat: можешь помочь мне тоже

Ответы

Ответ дал: ВладимирБ
2

Ответ:

Объяснение:

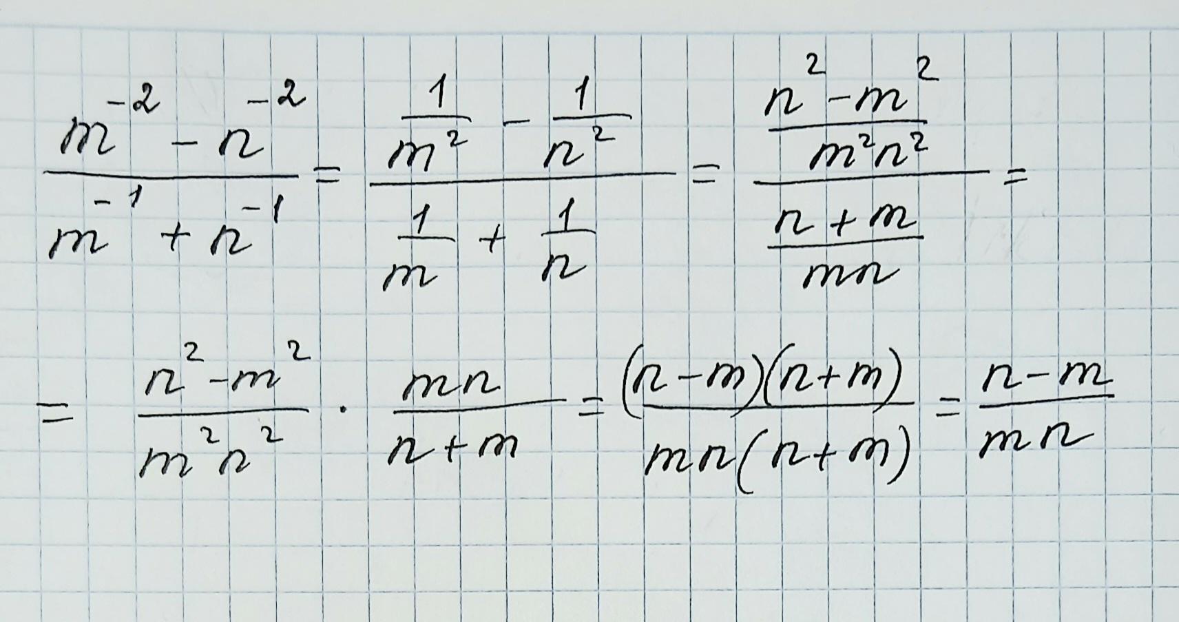
решение на фото

Приложения:
Вас заинтересует