• Предмет: Математика
  • Автор: fanatedosia
  • Вопрос задан 1 год назад

Зробіть будь-ласка хто що може, роздам по максимуму

Приложения:

mnoopt: Зараз спробую зробити

Ответы

Ответ дал: mnoopt
1

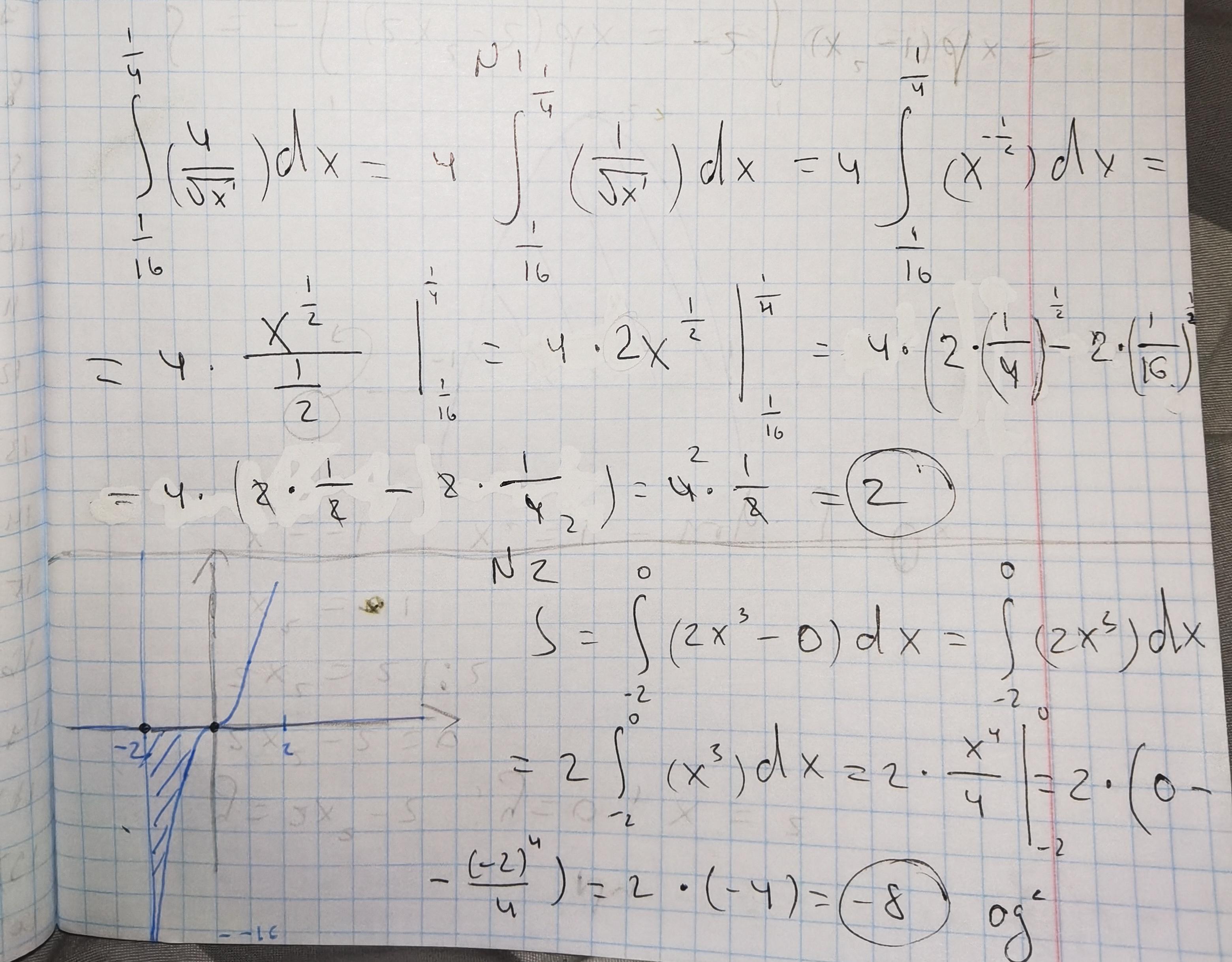
Відповідь:1)2, 2)-8, 3)Г, 4)8/3

Покрокове пояснення:

На фото. Щодо 4 не дуже впенена

Приложения:

fanatedosia: я кохаю тебе
fanatedosia: Дякую велике
etachecc: можеш будь-ласка допомогти з однією невеличкою самостійною роботою за грошову винагороду?) можна якось з тобою зв'язатися, телеграм можливо)
mnoopt: Ой блін, сорі, тільки зараз помітила, що в першому забула мінус поставити попереду формули, то там у відповіді 8 од²
Вас заинтересует