Ответы
Ответ дал:
0
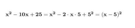
Решение .
Выделить полный квадрат .
Приложения:

Вас заинтересует
1 год назад
1 год назад
1 год назад
1 год назад
2 года назад
8 лет назад
8 лет назад