• Предмет: Алгебра
  • Автор: luntifit
  • Вопрос задан 1 год назад

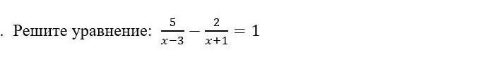
помогите пожалуйста срочно​

Приложения:

Ответы

Ответ дал: albinakovalstudy
1

kfkcjbgcjrbcnrkggngbc

Приложения:
Вас заинтересует