• Предмет: Алгебра
  • Автор: vadyashineek
  • Вопрос задан 1 год назад

32 Задание №4,№5 Пожалуйста побыстрее. Даю 100 Баллов ​

Приложения:

Ответы

Ответ дал: ВладимирБ
1

Ответ:

Объяснение:

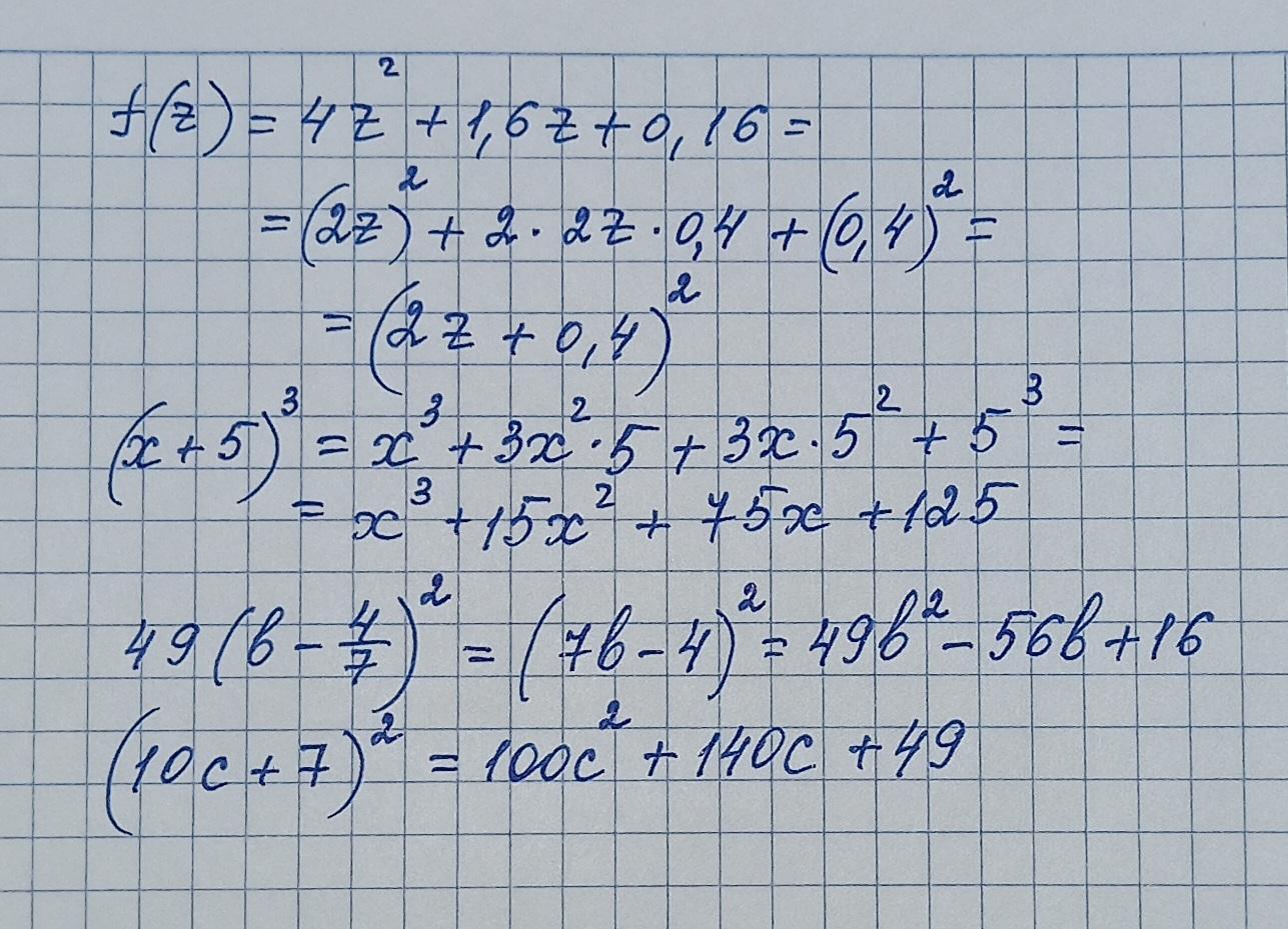
решение на фото

Приложения:

vadyashineek: спасибо брат, выручил
Вас заинтересует