Ответы
Ответ дал:
0
Объяснение:
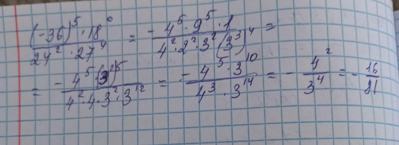
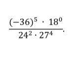
см фото,,,,,,,,,,,,,,,,,,,,,,,,,
Приложения:

Вас заинтересует
1 год назад
1 год назад
1 год назад
2 года назад
2 года назад
8 лет назад