• Предмет: Алгебра
  • Автор: kamenyukanya
  • Вопрос задан 1 год назад

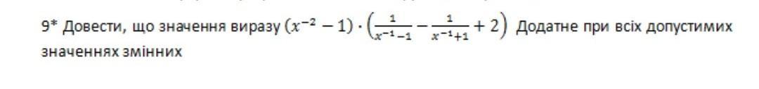
Довести, що значення виразу (х-² -1)×(1/x-¹ - 1/x-¹ + 1 + 2) Додатне при всіх допустимих значеннях змінних.
ДАЮ 70 БАЛІВ

Приложения:

Ответы

Ответ дал: nursaya0405
0

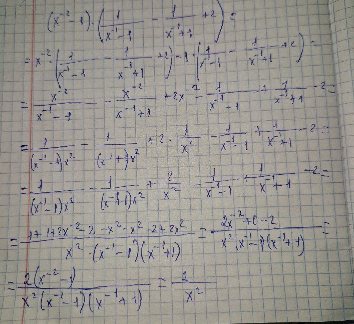
ответ 2/x^2..............

Приложения:
Вас заинтересует