• Предмет: Алгебра
  • Автор: 1302aknur
  • Вопрос задан 1 год назад

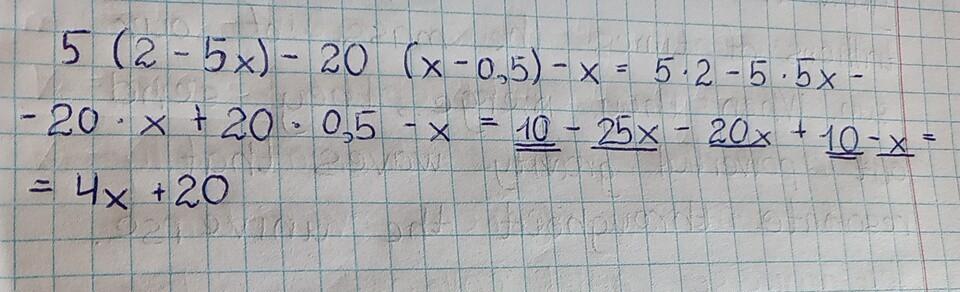
5(2-5x)-20(x-0.5)-x памагите даму на правилны ответ 18балов

Ответы

Ответ дал: murph5
0

Ответ и решение смотрите на фотографии:

Приложения:
Вас заинтересует