29балів один приклад
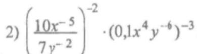
Перетворіть вираз так щоб він не містив степенів з від'ємними показниками
Приложения:

Ответы
Ответ дал:
2
Ответ:
на фото-----------------
Приложения:

Вас заинтересует
1 год назад
1 год назад
1 год назад
1 год назад
2 года назад
2 года назад
8 лет назад