• Предмет: Математика
  • Автор: valijon007
  • Вопрос задан 10 лет назад

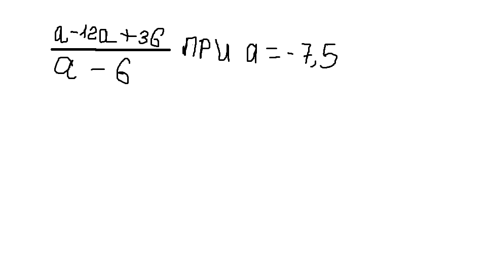
найдите значение алгебраической дроби

Приложения:

Ответы

Ответ дал: Sevara01
0
 frac{ (a-6)^{2} }{a-6} =a-6
-7.5-6=-13.5
Вас заинтересует