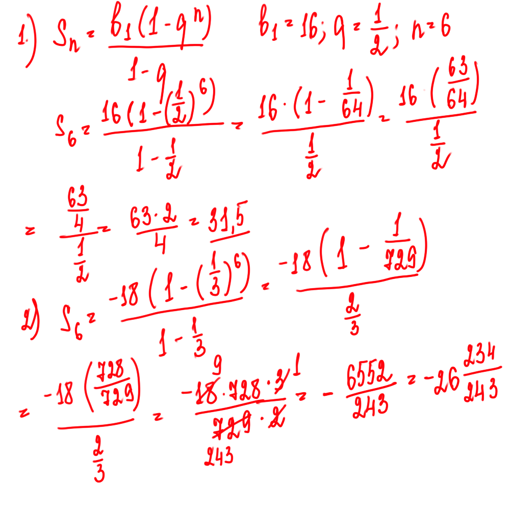
найдите сумму шести первых членов геометрической последовательности для которой x1=16, q=1/2; y1=-18, q=1/3
Ответы
Ответ дал:
0
Все решается по формуле суммы n членов геометрической прогрессии.
Приложения:
Вас заинтересует
3 года назад
3 года назад
8 лет назад
8 лет назад
11 лет назад
11 лет назад
11 лет назад